成都逍遥耍耍网论坛,天津-凤江湖论坛春风阁(全国信息) ,一品香论坛登录入口风楼阁交友平台 ,快活林信息发布论坛汇总

³äµçÆ÷оƬ°¢Àï°Í°ÍµêÆÌ ¿ª¹ØµçԴоƬ¹Ø×¢æê΢ µç»úÇý¶¯Ð¾Æ¬ÊÕ²Øæê΢ »¶Ó­½øÈëµçԴоƬ/Çý¶¯Ð¾Æ¬¡¢MOS¡¢IGBT¡¢¶þÈý¼«¹Ü¡¢ÇŶѵȵç×ÓÔªÆ÷¼þ´úÀíÉÌ--æê΢µç×Ó¹ÙÍø
¸ß¼¶ËÑË÷

ËÑË÷Ò»

ËÑË÷¶þ

³äµç¹ÜÀíIC·½°¸
µ±Ç°Î»Ö㺠µçÔ´ic > ÐÂÎÅÖÐÐÄ > ¼¼Êõ×ÊѶ > ¿ª¹ØµçԴͬ²½ÕûÁ÷оƬ¹¤×÷Ô­Àí

¿ª¹ØµçԴͬ²½ÕûÁ÷оƬ¹¤×÷Ô­Àí

×ֺţºT|T
ÎÄÕ³ö´¦£ºæê΢µç×ÓÔðÈα༭£ºµçÔ´¹ÜÀíоƬÈËÆø£º-·¢±íʱ¼ä£º2019-07-09
¡¡¡¡Ëæ×Å¿ª¹ØµçÔ´¼¼ÊõµÄ²»¶Ï·¢Õ¹£¬µÍµçѹ´óµçÁ÷½µµÍ¹¦ºÄÒѳÉΪµçÔ´¹¤³ÌʦµÄÄÑÌ⣬¿ª¹ØµçÔ´µÄËðºÄÖ÷ÒªÓɹ¦ÂÊ¿ª¹Ø¹ÜËðºÄ¡¢¸ßƵ±äѹÆ÷ËðºÄ¡¢Êä³ö¶ËÕûÁ÷¹ÜËðºÄÈý²¿·Ö×é³É£¬¿ª¹ØµçԴͬ²½ÕûÁ÷оƬÓÐÀûÓÚ½µµÍµç·µÄÕûÌ幦ÂÊÏûºÄ£¬ÒÔÂú×ãÁù¼¶ÄÜЧµÄÐèÇó¡£
¡¡¡¡
¡¡¡¡¿ª¹ØµçԴͬ²½ÕûÁ÷оƬ¹¤×÷Ô­Àí£ºÍ¬²½ÕûÁ÷ÊDzÉÓÃ̬ͨµç×輫µÍµÄרÓù¦ÂÊMOSFET£¬À´È¡´úÕûÁ÷¶þ¼«¹ÜÒÔ½µµÍÕûÁ÷ËðºÄµÄÒ»Ïîм¼Êõ£¬ËüÄÜÓÐЧÌá¸ß±ä»»Æ÷µÄת»»Ð§ÂÊ£¬²¢ÇÒ²»´æÔÚÓÉÐ¤ÌØ»ùÊÆÀݵçѹ¶øÔì³ÉµÄËÀÇøµçѹ£¬²¢¿ÉÀûÓÃÆä¶þ´Î²àµÄÓÅÊÆ¸ÄÉÆµçÔ´Ö¸±ê¡£
 
¡¡¡¡
¡¡¡¡Í¬²½ÕûÁ÷´ÓÍØÆË¼Ü¹¹½Ç¶È¿É·ÖΪHigh sideºÍLow sideÁ½´óÀ࣬µ«´Ó¿ØÖƲßÂԽǶÈÀ´¿´£¬Í¬²½ÕûÁ÷¿É·ÖΪDCMģʽºÍCCMģʽ£¬¶øCCMģʽÓÖÒÔÔ¤²â¹Ø¶ÏºÍ¿ìËٹضÏΪÖ÷µ¼£¬ÄÇôËûÃÇÖ®¼äÓÖÓÐʲôÓÅȱµãÄØ¡£
¡¡¡¡
¡¡¡¡Í¬²½ÕûÁ÷DCMģʽ
¡¡¡¡
¡¡¡¡Óŵ㣺Ëã·¨¼òµ¥¿É¿¿£¬ÍâΧ¾«¼ò¡£¡¡¡¡
¡¡¡¡È±µã£º¿ØÖÆËã·¨ÓëMOSFET̬ͨµç×èÏà¹Ø£»SRÐëÓëÔ­±ßоƬÅäºÏ£¬½öÄܹ¤×÷ÔÚ²»Á¬Ðøµ¼µçģʽ¡£
¡¡¡¡
¡¡¡¡CCMģʽ--Ô¤²â¹Ø¶Ï
¡¡¡¡
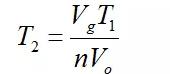
¡¡¡¡ÓÉSR¿ª¹Ø²¨ÐÎÆË×½Vg/n¡¢Vo¡¢T1ÐÅÏ¢£¬¸ù¾Ý¸ºÃëÆ½ºâÔ­Àí£¬¹ÀËãSR¹Ø¶Ïµã£º
¡¡¡¡
¡¡¡¡Óŵ㣺¿ØÖÆËã·¨ÓëMOSFET̬ͨµç×èÎ޹أ¬Ó¦ÓÃÁé»î£»SRÉî¶Èµ¼Í¨£¬×ª»»Ð§Âʸß¡£¡¡¡¡
¡¡¡¡È±µã£ºÐè²ÉÓõç×è¼°»ý·ÖµçÈÝÌáÈ¡Ïà¹ØÐÅÏ¢£¬ÍâΧ¸´ÔÓ¡¢Îó²î´ó£»·üÃ벻ƽºâ¹¤¿öÏÂ(ģʽÇл»)Óм¼Êõ·çÏÕ¡£
¡¡¡¡
¡¡¡¡CCMģʽ--¿ìËٹضÏ
¡¡¡¡
¡¡¡¡Óŵ㣺Ëã·¨¼òµ¥¿É¿¿£¬ÍâΧ¾«¼ò¡£¡¡¡¡
¡¡¡¡È±µã£º¿ØÖÆËã·¨ÓëMOSFET̬ͨµç×èÏà¹Ø£»SRÔÚt1~t2Çø¼ä·ÇÉî¶Èµ¼Í¨£¬×ª»»Ð§ÂÊÓÐËù½µµÍ¡£
¡¡¡¡
¡¡¡¡Í¨¹ýÒÔÉϼ¸ÖÖģʽÎÒÃÇ¿´³ö£¬Í¬²½ÕûÁ÷¿ØÖÆÆ÷ÎÞÂÛÊÇÄÇÖÖģʽ¶¼ÊǾßÓÐËã·¨¼òµ¥¿É¿¿£¬ÍâΧ¾«¼òµÈÓŵ㣬ÏÂÃæÍÆ¼öÒ»¿î¿ª¹ØµçԴͬ²½ÕûÁ÷оƬPN8308H¡£
¡¡¡¡
¡¡¡¡PN8308´ó¹¦ÂÊͬ²½ÕûÁ÷оƬÄÚÖÃ10mΩ 80V Trench MOSFET£¬¿ØÖÆÆ÷ʵʱ¸ú×Ù¹¦ÂÊMOSFETµçÁ÷£¬½øÒ»²½¼Ó¿ì¹Ø¶ÏËÙ¶È£¬ÒÔÌá¸ßµçÁ÷Êä³öÄÜÁ¦£¬ÌáÉýת»»Ð§ÂÊ£¬PN8308H¿ª¹ØµçԴͬ²½ÕûÁ÷оƬ¼¯³ÉÁ˼«ÎªÈ«ÃæµÄ¸¨Öú¹¦ÄÜ£¬°üº¬Êä³öǷѹ±£»¤¡¢×îСµ¼Í¨Ê±¼äµÈ¹¦ÄÜ£¬ÊÊÓÃÓÚCCM£¬DCMºÍQR¹¤×÷ģʽ£¬ÓÃÓÚÔÚ¸ßÐÔÄÜAC/DC·´¼¤ÏµÍ³ÖÐÌæ´ú´Î¼¶ÕûÁ÷Ð¤ÌØ»ù¶þ¼«¹Ü£¬¹ã·ºÓ¦ÓÃÓÚ9V/12VÊä³öÊÊÅäÆ÷¡£
²úÆ·ÖÐÐÄ ¹ØÓÚæê΢ ÁªÏµÎÒÃÇ