成都逍遥耍耍网论坛,天津-凤江湖论坛春风阁(全国信息) ,一品香论坛登录入口风楼阁交友平台 ,快活林信息发布论坛汇总

³äµçÆ÷оƬ°¢Àï°Í°ÍµêÆÌ ¿ª¹ØµçԴоƬ¹Ø×¢æê΢ µç»úÇý¶¯Ð¾Æ¬ÊÕ²Øæê΢ »¶Ó­½øÈëµçԴоƬ/Çý¶¯Ð¾Æ¬¡¢MOS¡¢IGBT¡¢¶þÈý¼«¹Ü¡¢ÇŶѵȵç×ÓÔªÆ÷¼þ´úÀíÉÌ--æê΢µç×Ó¹ÙÍø
¸ß¼¶ËÑË÷

ËÑË÷Ò»

ËÑË÷¶þ

³äµç¹ÜÀíIC·½°¸
µ±Ç°Î»Ö㺠µçÔ´ic > ÐÂÎÅÖÐÐÄ > ¹«Ë¾ÐÂÎÅ > ¸ß¾«¶ÈÔ­±ß·´À¡ºãÁ÷ºãѹоƬ-PN8611

¸ß¾«¶ÈÔ­±ß·´À¡ºãÁ÷ºãѹоƬ-PN8611

×ֺţºT|T
ÎÄÕ³ö´¦£ºæê΢µç×ÓÔðÈα༭£ºµçÔ´¹ÜÀíоƬÈËÆø£º-·¢±íʱ¼ä£º2022-10-20
¡¡¡¡PN8611¸ß¾«¶ÈÔ­±ß·´À¡ºãÁ÷ºãѹоƬÊÇÒ»¿î¸ßÐÔÄܵÄÔ­±ß·´À¡¿ØÖÆÆ÷¡£PN8611¹¤×÷ÔÚÔ­±ß¼ì²âºÍµ÷Õûģʽ£¬¿ÉÊ¡ÂÔϵͳµÄ¹âñîºÍTL431¡£PN8611ÓµÓкãѹºãÁ÷¿ØÖÆ»·Â·£¬¿ÉÒÔʵÏָ߾«¶ÈµÄºãѹ¡¢ºãÁ÷Êä³ö£¬ÒÔÂú×ã´ó²¿·Ö³äµçÆ÷ºÍÊÊÅäÆ÷ÐèÇó¡£PN8611ÄÚÖøßѹÆô¶¯µç·ºÍ¼«µÍµÄоƬ¹¦ºÄʹµÃϵͳÄܹ»Âú×ã½Ï¸ßµÄ´ý»ú¹¦ºÄ±ê×¼¡£
¡¡¡¡
¡¡¡¡1. ¸ßѹÆô¶¯¿ØÖÆ¡¡¡¡
¡¡¡¡ÔÚÆô¶¯½×¶Î£¬²ÉÓøßѹÆô¶¯¼¼Êõ£¬Ð¾Æ¬Æô¶¯Ç°2mAµçÁ÷ԴΪÄÚ²¿Æ«Öõç·¹©µç²¢¸øÍⲿVDDµçÈݳäµç£¬¿ìËÙÆô¶¯¡£µ±VDDµçѹ´ïµ½VDDon£¬Ð¾Æ¬¿ªÊ¼¹¤×÷µÄͬʱ¸ßѹÆô¶¯µç·¹Ø¶Ï£»Ö»ÒªVDDµçѹ²»µÍÓÚVDDoff£¬Ð¾Æ¬Î¬³ÖÕý³£¹¤×÷¡£Æô¶¯ºó£¬Æ«Öõç·ͨ¹ý¸¨ÖúÔ´¹©µç£¬Í¬Ê±Æô¶¯µç·ֻÓÐһ·¼«Ð¡µÄµçÁ÷£¬ÊµÏÖµÍËðºÄ¡£
¡¡¡¡
¡¡¡¡2. CC ¹¤×÷ģʽ¡¡¡¡
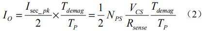
¡¡¡¡ÔÚCC¹¤×÷״̬£¬PN8611Ô­±ß·´À¡ºãÁ÷ºãѹоƬ²ÉÑùFBÒý½ÅµÄÐźţ¨Óɸ¨ÖúÈÆ×éÐźÅͨ¹ýµç×è½ÓÈëFB£©£¬¸¨ÖúÈÆ×éÐźÅÂö¿í¾ö¶¨Õñµ´ÆµÂÊ¡£Êä³öµçѹԽ¸ß£¬Âö¿íԽС£¬Í¬Ê±Õñµ´ÆµÂÊÔ½¸ß£¬ÕâÑù¿É»ñµÃºã¶¨µÄÊä³öµçÁ÷¡£·ÇÁ¬ÐøÄ£Ê½µÄµçÁ÷¹¤×÷²¨ÐÎÈçͼ1Ëùʾ¡£ÔÚMOSFETµ¼Í¨£¨Ton£©ÆÚ¼ä£¬Ô­±ßµçÁ÷IpriÉÏÉý¡£µ±MOSFET¹Ø±Õʱ£¬±äѹÆ÷Ô­±ßµÄÄÜÁ¿»á´«µÝµ½´Î¼¶£¬´Î¼¶µçÁ÷×î´óֵΪ
¡¡¡¡
¡¡¡¡Êä³öµçÁ÷ֵΪ¡¡
¡¡
¡¡¡¡µ±TP=2×Tdemag£¬ÇÒVCSºã¶¨Ê±£¬Êä³öµçÁ÷IOÊǺ㶨ֵ£¬Òò´Ë¿ÉÒԵõ½ºãÁ÷Êä³ö¡£
¡¡¡¡
¡¡¡¡3. CV ¹¤×÷ģʽ¡¡¡¡
¡¡¡¡ÔÚCV¹¤×÷״̬£¬PN8611Ô­±ß·´À¡ºãÁ÷ºãѹоƬʹÓÃÂö³å²ÉÑùVFBµçѹ£¬²¢±£³Öµ½Ï¸ö²ÉÑùµã¡£½«²ÉÑùµÄµçѹºÍVREF_CV»ù×¼±È½Ï£¬²¢·Å´óÎó²î¡£Õâ¸öÎó²îÖµ´ú±í¸ºÔØÇé¿ö£¬Í¨¹ý¿ØÖÆ¿ª¹ØÐźÅ£¬µ÷½ÚÊä³öµçѹ£¬Ê¹µÃÊä³öºã¶¨¡£
¡¡¡¡
¡¡¡¡Êä³öµçѹVoºÍVREF_CVµÄ¹ØÏµÎª¡¡¡¡
¡¡¡¡ÆäÖУ¬ NS ºÍ NAUX ·Ö±ðΪ´Î¼¶ÈÆ×éºÍ¸¨ÖúÈÆ×éµÄȦÊý¡£
¡¡¡¡
¡¡¡¡ÔÚÖØÔØÌõ¼þ£¬Ð¾Æ¬¹¤×÷ÔÚPFMģʽ£¬Ipeak²»±ä£¬¹¤×÷ƵÂÊËæÊä³öµçÁ÷¼õС¶ø¼õС£»µ±ÆµÂʼõСµ½25kHz×óÓÒ£¬Ð¾Æ¬½øÈëPWMģʽ£¬ÆµÂʵ÷ÖÆ±äµÃ·Ç³£»ºÂý£¬IpeakËæÊä³öµçÁ÷¼õС¶ø¼õС£¬¸Ãģʽ¿ÉÒÔ±ÜÃâÒôƵÔëÒô£¬Í¬Ê±ÓÐÀûÓÚÌáÉý25%´øÔØÐ§ÂÊ£»µ±Ð¾ Ƭ Ipeak µ÷ÖÆµ½ 200mA £¬Ð¾Æ¬½øÈë¿ÕÔØÄ£Ê½£¨Standbyģʽ£©£¬Ipeak²»±ä£¬¹¤×÷ƵÂÊËæÊä³öµçÁ÷¼õС¶ø¼õС£¬²¨ÐÎÈçͼ2Ëùʾ¡£
¡¡¡¡
¡¡¡¡4. µçÁ÷¼ì²âºÍÇ°ÑØÏûÒþ¡¡¡¡
¡¡¡¡PN8611¸ß¾«¶ÈÔ­±ß·´À¡ºãÁ÷ºãѹоƬÌṩÖðÖÜÆÚµçÁ÷¼ì²â¹¦ÄÜ¡£Ð¾Æ¬Í¨¹ýÖÇÄÜMOS²ÉÑù¹Ü¼ì²â¹¦ÂʹܵçÁ÷£¬Ô­±ßµçÁ÷×î´óÖµÉèÖÃΪ520mA£¬×î´óÊä³ö¹¦ÂÊÓÉоƬ¹Ì¶¨¡£¹¦ÂʹܿªÍ¨Ë²¼ä»á²úÉú¼â·åµçѹ£¬ÄÚ²¿Ç°ÑØÏûÒþµç·¿É·ÀÖ¹Îó´¥·¢¡£
¡¡¡¡
¡¡¡¡5. ±£»¤¿ØÖÆ¡¡¡¡
¡¡¡¡PN8611¸ß¾«¶ÈÔ­±ß·´À¡ºãÁ÷ºãѹоƬº¬ÓзḻµÄ±£»¤¹¦ÄÜ£¬°üÀ¨£ºÖðÖÜÆÚ¹ýÁ÷±£»¤¡¢Êä³ö¹ýѹ±£»¤¡¢¹ýα£»¤¡¢¿ª»·±£»¤¡¢Êä³ö¶Ì·±£»¤¡¢VDDÇ·Ñ¹Ëø¶¨±£»¤¹¦ÄÜ£¬²¢ÇÒÕâЩ±£»¤¾ßÓÐ×Ô»Ö¸´Ä£Ê½¡£

¡¡¡¡æê΢µç×Ó´úÀíÏúÊÛ¸÷´óÆ·ÅÆµÄ³äµçÆ÷оƬ¡¢ÊÊÅäÆ÷оƬ¡¢Ð¡¼ÒµçоƬµÈ¸÷Ààµç×ÓÔªÆ÷¼þ£¬¿ÉÒÔÂú×ãÊг¡¶àÑù»¯µÄÐèÇó£¬Îª¿Í»§Ìṩ¸ßÐԼ۱ȡ¢ÐÔÄÜÓÅÒ졢ƷÖÊÎȶ¨µÄµçÔ´·½°¸¼°ÏÖ³¡¼¼ÊõÖ§³Ö·þÎñ£¬¸ü¶àÏà¹Ø·½°¸×ÊÁÏ¿ÉÏòÎÒÃÇÉêÇë¡£>>
²úÆ·ÖÐÐÄ ¹ØÓÚæê΢ ÁªÏµÎÒÃÇ